2x2逆矩阵计算器
|
| ||
| 结果: | |
| 伴随矩阵 (Adj(A)) |
|
| |A| | |
| A -1 | |
逆矩阵: 设A是数域上的一个n阶方阵,若在相同数域上存在另一个n阶矩阵B,使得: AB=BA=E。 则我们称B是A的逆矩阵,而A则被称为可逆矩阵。A是可逆矩阵的充分必要条件是∣A∣≠0,即可逆矩阵就是非奇异矩阵。(当∣A∣=0时,A称为奇异矩阵。
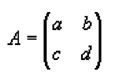
逆矩阵公式:

计算方法如下:


推荐
|
| ||
| 结果: | |
| 伴随矩阵 (Adj(A)) |
|
| |A| | |
| A -1 | |
逆矩阵: 设A是数域上的一个n阶方阵,若在相同数域上存在另一个n阶矩阵B,使得: AB=BA=E。 则我们称B是A的逆矩阵,而A则被称为可逆矩阵。A是可逆矩阵的充分必要条件是∣A∣≠0,即可逆矩阵就是非奇异矩阵。(当∣A∣=0时,A称为奇异矩阵。
逆矩阵公式:

计算方法如下:

